Sejarah Ditemukannya Pola Bilangan Segitiga Pascal
Sampul
Sejarah Ditemukannya Pola Bilangan Segitiga Pascal
Blaise Pascal adalah seorang ahli matematika Prancis, fisikawan, penemu, penulis dan filsuf Katolik. Dia melakukan karya perintis dalam mesin penghitung dan muncul dengan kalkulator mekanis. Dia adalah seorang ahli matematika berpengaruh dan membuat penelitian yang signifikan di daerah seperti projective geometri dan teori probabilitas. Dia juga membuat kontribusi yang penting dalam segitiga aritmatika dan cycloid.
Seiring dengan Fermat, Pascal datang dengan kalkulus probabilitas, yang kemudian menyebabkan dasar dari matematika teori probabilitas. Dia juga bekerja di alam dan ilmu terapan dan memberikan kontribusi penting dalam konsep seperti cairan, tekanan dan vakum. Menghormati karya dan kontribusi, namanya Pascal telah dibuat unit SI dari tekanan dan juga bahasa pemrograman.
Kontribusi lainnya penting termasuk hukum Pascal, Pascal segitiga dan taruhan Pascal. Karya agama-Nya, "Lettres provinciales dan Pensées" memiliki pengaruh agama di seluruh Prancis dan menciptakan tingkat baru dalam prosa gaya Prancis.
Sejarah kehidupan Blaise Pascal
Blaise Pascal lahir di Clermont-Ferrand pada 19 Juni 1623. Ayahnya, Etienne Pascal adalah seorang hakim lokal dan anggota "de Noblesse Robe". Ayahnya sendiri dikenal karena minatnya dalam ilmu pengetahuan dan matematika. Ibu Pascal, Antoinette Begon meninggal ketika dia hanya tiga.
Dia memiliki dua saudara perempuan, Jacqueline dan Gilberte. Pada 1631, keluarganya pindah ke Paris. Ayahnya tidak pernah menikah, bukan ia mengabdikan seluruh hidupnya dalam pendidikan anak-anaknya terutama Blaise, yang menunjukkan bakat besar untuk studi ilmiah. Pada usia sebelas tahun, SMP Pascal kagum ayahnya dengan kemampuan matematika ketika ia dibangun sebuah catatan singkat tentang suara bergetar tubuh.
Dalam setahun, ia menulis sebuah bukti independen bahwa jumlah sudut segitiga adalah sama dengan dua sudut yang tepat. Terkesan dengan kepentingan matematika, ayahnya membawanya ke pertemuan-pertemuan yang hebat matematika dan ilmuwan terbesar dalam sel monastik dari Père Mersenne. Para ilmuwan dan matematikawan termasuk Roberval, Desargues, Mydorge, Gassendi, dan Descartes.
Pada usia enam belas, Pascal menulis sebuah risalah pendek pada "heksagram Mystic", berdasarkan pada karya Desargues berbentuk kerucut pada bagian. Ini risalah singkat kemudian menyebabkan teorema terkenal Pascal, yang menyatakan bahwa segi enam tertulis dalam sebuah lingkaran (atau berbentuk kerucut) membuat titik persimpangan tiga sisi yang berlawanan pada satu garis.
Desargues, ketika ditunjukkan pekerjaan, tegas percaya bahwa itu adalah karya Pascal senior dan bukan anaknya. Tapi ketika diyakinkan oleh Mersenne, ia mengejek it off. Sementara itu, pada tahun 1631, ayah Pascal, Étienne dijual posisinya sebagai presiden kedua dari Aides des Cour untuk 65.665 livre dan diinvestasikan dalam jumlah obligasi pemerintah yang memberikan keluarga Pascal penghasilan nyaman.
Keluarganya, pindah ke Paris. Namun, pada tahun 1638, ayahnya harus melarikan diri dari Paris setelah menentang kebijakan fiskal kemudian kardinal Richelieu, Kardinal. Pascal dan adiknya yang tersisa dalam perawatan tetangga Madame ramah Sainctot. Setelah menyelesaikan perbedaan dengan kardinal, di 1639, Étienne diangkat menjadi komisaris raja pajak di kota Rouen.
Untuk meredakan beban ayahnya overtiring dan melelahkan perhitungan dan perhitungan ulang pajak yang terhutang dan dibayar, Pascal pada 1642 membangun sebuah kalkulator mekanik. Kalkulator mekanik memiliki kemampuan untuk melakukan penjumlahan dan pengurangan dan disebut kalkulator Pascal atau Pascaline.
Karena sifat mahal dan ukurannya yang besar, Pascaline tidak bisa menjadi sukses keuangan. Ini bukan menjadi simbol status bagi krim dari masyarakat di Perancis dan Eropa. Pascal, bagaimanapun, bertekad untuk membuat penemuan produk massal, menghabiskan sepuluh tahun berikutnya dalam improvisasi desain dan dengan demikian, dibuat sekitar dua puluh mesin penghitung.
Saat ini, Musée des Arts et Métiers di Paris dan Museum Zwinger di Dresden, Jerman, menunjukkan dua dari kalkulator aslinya mekanik.
Kontribusi Dalam Matematika Dan Ilmu
Pascal selalu tetap seorang matematikawan berpengaruh sepanjang hidupnya. Presentasi nyaman tabular Nya koefisien binomial dijelaskan dalam Traité du segitiga arithmétique, dirilis pada 1653, kemudian menjadi terkenal sebagai segitiga Pascal.
Pada 1654, setelah seorang teman, bunga Chevalier de Mere dalam masalah judi, Pascal membahas hal ini dengan Fermat, yang kemudian menyebabkan dasar dari matematika teori probabilitas. Salah satu masalah perjudian adalah dua pemain yang ingin menyelesaikan permainan awal, dan mengingat kondisi saat itu dari permainan, ingin berbagi taruhannya cukup, berdasarkan fakta bahwa setiap pemain memiliki peluang sama untuk menang pertandingan dari titik itu . Dalam konteks ini,
Pascal menggunakan argumen probabilistik juga dikenal sebagai taruhan Pascal. Kerja yang dilakukan oleh Pascal dan Fermat kemudian membantu merumuskan kalkulus Leibniz. Pascal juga dibuat kontribusi penting bagi filsafat matematika dengan karya-karyanya seperti De l'Esprit géométrique dan De l'Art pembujuk de.
Kontribusi Pascal dengan ilmu fisika meliputi karya-karyanya di bidang hidrodinamika dan hidrostatika yang sebagian besar didasarkan pada prinsip hidrolik. Dia juga memiliki kredit menciptakan jarum suntik dan tenaga hidrolik. Mengikuti pandangan Galileo dan Torricelli, ia menentang gagasan Aristoteles yang mengatakan bahwa penciptaan adalah hal yang substansi, apakah terlihat atau tidak terlihat. Ia menganjurkan adanya vakum dalam zat.
Dia mengatakan bahwa itu adalah vakum yang menjaga merkuri mengambang di barometer dan bahkan mengisi ruang di atas air raksa di dalam tabung. Dalam karyanya pada tahun 1647, "Pengalaman Nouvelles touchant le vide" dia memberikan percobaan lebih lanjut mengenai keterangannya, vakum. Percobaan ini dilakukan oleh Pascal dipuji di seluruh Eropa dan mendirikan prinsip dan juga nilai barometer.
Kebangkitan Pascal
Pada musim dingin tahun 1646, ayah Pascal terluka tidak jatuh pada jalan es di Rouen. Kondisinya pergi kritis dan dirawat oleh Dokter dan Dokter Deslandes de La Bouteillerie. Dokter-dokter baik adalah pengikut Jean Guillebert dan Jansenisme. Blaise datang dalam kontak dengan Jansenisme melalui orang-orang ini dan bahkan meminjam karya penulis Jansenist dari mereka.
Periode ini ditandai sebagai eksposur pertama untuk konversi agamanya. Kematian ayahnya pada tahun 1651 dan keberangkatan Jacqueline ke sebuah biara Jansenist Port-Royal terkena Pascal dalam dan memperburuk kondisi kesehatannya. Pada hari naas Oktober 1654, Pascal mengalami kecelakaan maut di Jembatan dekat Neuilly, di mana kuda-kuda jatuh atas tembok pembatas dan gerbong hampir mengikuti mereka dan menggantungkan pelatih di tengah jalan di tepian. Meskipun Pascal dan temannya selamat, insiden ini mempengaruhinya secara mental dan terpengaruh keyakinan agamanya.
Pada bulan Januari 1655, Pascal melakukan perjalanan ke biara di Port-Royal dan secara teratur melakukan perjalanan antara Port-Royal dan Paris selama bertahun-tahun berikut. Ini konversi agama mengilhaminya untuk menulis karya pertama sastra terkenal pada agama, "dengan Provincial Letters".
Pascal, di "Surat Provinsi", sangat cerdik diserang pada kasuistis. Dalam penciptaan ini, Pascal telah menggabungkan semangat dari seorang mualaf dengan kecerdasan dan semir seorang pria di dunia.
Pascal dipublikasikan seri surat 18 selama periode antara 1656 dan 1657 dengan menggunakan nama samaran Louis de Montalte. "The Provincial Letters" marah Louis XIV dan sekolah Jansenist di Port-Royal ditutup selama kontroversi formularium. Bahkan Paus Alexander VII terbuka mengkritik karya Pascal namun dia terkesan dengan argumennya.
Kematian Pascal
Sejak ulang tahun yang kedelapan belas, Pascal menderita penyakit syaraf yang menyebabkan dia sakit biasa. Pada tahun 1647, setelah serangan lumpuh ia melanjutkan tongkat, kepalanya sakit sering, isi perutnya dibakar dan kaki dan tangannya tetap terus dingin.
Pascal jatuh sakit parah tahun 1659 dan dalam kurun waktu tiga tahun, AC memburuk. Kematian adiknya Jacqueline tahun 1661 membuat penyakitnya lebih ganas. Setelah menerima minyak penyucian pada tanggal 18 Agustus ia meninggal keesokan harinya pada tanggal 19 Agustus 1662.
Awal Dari Pola Bilangan Segitiga Pascal
Dalam matematika, segitiga Pascal adalah suatu aturan geometri pada koefisien binomial dalam sebuah segitiga. Ia dinamakan sempena Blaise Pascal dalam kebanyakan dunia barat, meskipun ahli matematika lain telah mengkajinya berabad-abad sebelum dia di India, Persia, Cina, dan Italia.
Barisan segitiga Pascal umumnya dihitung dimulai dengan baris kosong, dan nomor-nomor dalam barisan ganjil biasanya diatur agar terkait dengan nomor-nomor dalam baris genap. Konstruksi sederhana pada segitiga dilakukan dengan cara berikut, yaitu : di barisan nol, hanya tulis nomor 1. Kemudian, untuk membangun unsur-unsur barisan berikutnya, tambahkan nomor di atas dan di kiri dengan nomor secara langsung di atas dan di kanan untuk menemukan nilai baru.
Jika nomor di kanan atau kiri tidak ada, gantikan suatu kosong pada tempatnya. Misalnya, nomor satu di barisan pertama adalah 0 + 1 = 1, di mana nomor 1 dan 3 dalam barisan ketiga ditambahkan untuk menghasilkan nomor 4 dalam barisan keempat.
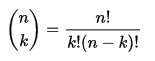
Setiap nomor dalam segitiga adalah jumlah dua secara terus dengan yang di atas. Pembinaan ini terkait dengan koefisien binomial oleh Peraturan Pascal, yang menyatakan bahwa jika
adalah koefisien binomial ke-'k dalam pengembangan binomial pada (x + y)n, di mana n! adalah faktorial n, oleh itu
untuk setiap bilangan bulat bukan negatif n dan mana-mana bilangan bulat k di antara 0 dan n.
Segitiga Pascal memiliki pengitlakan dimensi lebih tinggi. Versi tiga-dimensi disebut Piramida Pascal atau Pascal 's tetrahedron, sedangkan versi umum disebut simpleks Pascal - ini lihat piramida, tetrahedron dan simpleks.
Demikian informasi mengenai sejarah ditemukannya Pola Bilangan Segitiga Pascal.
Segitiga Pascal memiliki pengitlakan dimensi lebih tinggi. Versi tiga-dimensi disebut Piramida Pascal atau Pascal 's tetrahedron, sedangkan versi umum disebut simpleks Pascal - ini lihat piramida, tetrahedron dan simpleks.
Demikian informasi mengenai sejarah ditemukannya Pola Bilangan Segitiga Pascal.




EmoticonEmoticon